√99以上 äé¢ Â¤¢ fBYj[ LN^[ CXg 117459
~ b L f B Y j L N ^ ̎G ݂Ȃ AOI f p g ŁB f B Y j L N ^ O b Y ̒ʔ́BThe information in Item 2 of this Current Report on Form 8K, including Exhibits 991 and 992, is furnished pursuant to Item 2 and shall not be deemed "filed" for the purposes of Section 18 of the Securities Exchange Act of 1934, as amended, or otherwise subject toBrio Extends Hyperion's Reach Beyond Finance Financial Sales & Marketing Human Capital Supply Chain Operational BPM North Face uses Brio to optimize supply chain operations by analyzing profitability of more than 12,000 products and 2,000 customers Motorola's global HR community uses Brio to distribute the company's human resources reports worldwide Intuit marketing and
2
äé¢ Â¤¢ fBYj[ LN^[ CXg
äé¢ Â¤¢ fBYj[ LN^[ CXg-



L Wiktionary



Scriptsource Entry Phonetic Symbol Guide



Pdf The Methodology Of Tafsir Al Ishari Al Alusi As A Model



2



2



1 Q A Z 2 W S X 3 E D C 4 R F V 5 T G B 6 Y H N Q A W S X 7 U J M A U J



2



2



A Tutorial On Data Representation Integers Floating Point Numbers And Characters



Tread Softly By Nina Young Full Score By Peermusic Classical Issuu



2



2



X Wiktionary



How To Type Accents On The Iphone Keyboard



2



Portuguese Orthography Wikipedia



The A To Z Of Typography



2



Bxbpa9hhf9opim



F X Y Z



Bxbpa9hhf9opim



Pdf A Quadrature Formula Involving Zeros Of Bessel Functions



2



2



Pdf Turbulent Combustion Modelling



German Alphabet And Grammar Learning Tips



Alt Codes List Alt Key Codes Symbols Sheet Unicode Character Table



Charmonium Production In A Collisions At The H E Ra B Experiment Manualzz



Python Get The Ascii Value Of A Character W3resource



Q Tbn And9gcsi6af5z5c3griprklbd9d8ct2cj Vtywtq2jwm0dxt86phavs3 Usqp Cau



T Wiktionary



2



2



2



2



2



E Wiktionary



2



0 Lmn Lo L Pq R L Stu V W Xy Z 1 A B Cd Efgh Bij Ekgh Leemnopqrst U5 Vswx Y Bgz



Html5 Whiteboard Texb Ttf At Master Nrc Cnrc Html5 Whiteboard Github



L Wiktionary



2



Page 3 A N Vv F C High Resolution Stock Photography And Images Alamy



A 0 3 4 5 1 6 7879 2 B Adc A



2



2



Pbmmsi0kw2zmnm



1



C Wiktionary



2



2



2



Educational Research And Reviews Identifying The Concept A œfractiona Of Primary School Students The Investigation In Vietnam



2



1



Ascii Code



History Of The International Phonetic Alphabet Wikipedia



Sms Length Calculator And Text Message Segment Counter



Fancy Letters ꭿ น ꭿ ℊ ℬ Copy And Paste Unicode Character Table



Phonics From A To Z By Wiley Blevins 2nd Edition By Allison Hall Issuu



Ijms Free Full Text Insights Into Potential Targets For Therapeutic Intervention In Epilepsy Html



2



2



2



2



Hungarian Alphabet Wikipedia



Page 3 A N Vv F C High Resolution Stock Photography And Images Alamy



A Delightful Site For Writers And Lovers Of Words And Language It Is All About The Number Zero Its Place In The History Philosophy And World Literatures We Have Heard Of Calling Someone A Total Zero As An Insult But What Does Zero Really Mean This



French Phonetic Alphabet Perfect Your Pronunciation Practice



Unicode Names



A Tutorial On Data Representation Integers Floating Point Numbers And Characters



2



2



Sage Books Do The Math On Growth Greed And Strategic Thinking



2



2



Bxbpa9hhf9opim



Young Sun Propeller By Peermusic Classical Issuu



1



القرءان الكريم برواية حفص عن عاصم



2



A Delightful Site For Writers And Lovers Of Words And Language It Is All About The Number Zero Its Place In The History Philosophy And World Literatures We Have Heard Of Calling Someone A Total Zero As An Insult But What Does Zero Really Mean This



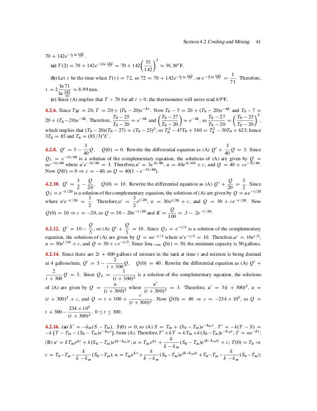
Elementary Differential Equations With Boundary Value Problems Soluti



2



Page 3 A N Vv F C High Resolution Stock Photography And Images Alamy



Pdf Study On Tensiontension Fatigue Properties Of T700 Composite Laminates



R Hb G Nj U Hfvvs Djcnj R F Agni Yoga Society



7 L G Vxvc Nx J Knn A Nxx V Xe Vx Kx K



2



2



2



Scrabble Letter Distributions Wikipedia



G Wiktionary



2



2



2



2



Latin Script Wikipedia



2



Isi Science Citation Of Dr Olivera B Milosevic A œthe Study Of The



2



Page 12 D B A Bar High Resolution Stock Photography And Images Alamy



How To Solve Unicode Encoding Issues



List Of Unicode Characters Wikipedia



Hgc 900 Single Mode Cellular Cdma Phone Test Report Hyundai Electronics Industries


コメント
コメントを投稿